Hoe luidt de officiële naam van de stof met bijgaande formule?
ethylpropanoaat
propylethanoaat
propylacetaat
propaanzuuranhydride
Een ester laat zich (met een aflopende reactie) gemakkelijk bereiden uit een ...
alkaanzuur en een alkanol
alkanol en een zuurchloride
aldehyde en een alkanol
keton en een alkaanzuur
Hoe ziet de volgorde in zuursterkte eruit van de volgende zuren? 1 = sterkst, 4 = zwakst a ethaanzuur c dichloorethaanzuur b butaanzuur d trichloorethaanzuur
1 b, 2 c, 3 a, 4 d
1 a, 2 b, 3 d, 4 c
1 d, 2 c, 3 a, 4 b
1 b, 2 a, 3 c, 4 d
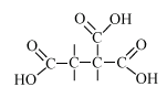
Uit welke twee stoffen is de volgende stof ontstaan?
propaanzuur en ethaandiol
ethaandizuur en propaan-1-ol
propaanzuur
ehaanzuur en propaan-1,3-diol
Hoe luidt de systematische naam voor: CH3CH2COOCH3?
propylmethanoaat
ethylethanoaat
methylpropanoaat
methylethanoaat
Hoeveel isomere esters zijn er voor: C3H6O2?
1
2
3
4
Hoeveel isomere esters zijn er voor C4H8O2?
2
3
4
5
Een overzadigd vetzuur wordt aangeduid met: 20:5 ω-3. Hoeveel dubbele bindingen heeft dit vetzuur?